Obrázek 4. Časová závislost maticové mřížkové konstanty získané z měření in situ XRD v 700 ◦ C. Zaznamenali jsme monotónní pokles v parametru mřížky, což naznačuje, že těžké prvky jako Nb a Mo se postupně difúzují z pevné látky-roztoková matice a přispívat k nukleaci a růstu jádra 948; fáze. Nejistota uvedená v tomto čísle a Dále představuje jedno standardní prohlášení, není-li stanoveno jinak.
Kromě toho změna v parametru maticové mřížky pevné látky-Slitina roztoku je spojena s rozsahem srážení [40]. V AM IN625 je rozdíl v parametrech maticové mřížky před a po 10 h tepelné úpravě v 870 ◦ C byla ≈ 0.0042 1970; [21]. Ve srovnání se parametrem mřížky změnil ≈ 0.0015 1970; po 10.5 h tepelném ošetření v 700 ◦ C, naznačující podstatně menší srážení v tomto temperaturu;Pravda.
IN625, jak je navržen, je jeden-Fázová slitina pšenicee pevnost pochází hlavně z pevného roztoku, který posiluje Mo, Nb a Cr [1]. Pře Vzhledem k tomu, že úbytek Mo a Nb z matrice má snižovat pevnost, může tvorba srážek kompenzovat to to snížení a zvýšit celkovou pevnost IN625. Například surový IN625 dosáhne své maximální tvrdosti po tepelném ošetření 170 h v 700 ◦ C, které jehlavně kvůli srážení obrysu 947; 8221; fáze, předchůdce odlitků 948; fáze [41]. Obdobně platí, že srážení obrysů 948; fáze také zvyšuje celkovou pevnost a snižuje produktivitu [37]. U AM IN625 je nutné systematické vyhodnocení účinku tepelné úpravy na mechanické vlastnosti v celé řadě teplotDobře.
Během tepelného zpracování se mění i jednotková buňka krytu 948; fáze. Obrázek 5 tuto změnu ilustruje. Mezi třemi ortorombinckými parametry mřížky (obr. 5a rozpis 8211c), dvě jsou téměř konstantní na ≈ 5.108 1970a ≈ 4.232 1970s; Třetí parametr mřížky ukazuje monotónní zvýšení z ≈ 4.482 až ≈ 4.488 1970; Je známo, že dlouhá osa krytu 948; fáze se shoduje s uzavřením-návody v balení matrice FCC a krystalografické orientace mezi matricí FCC a deskou 948; fáze následuje {111}FCC//(100)948; a FCC//[100]948; [10]. Na základě toho usuzujeme, že šíření Nb a Mo je také směrové. Vzhledem k tomu, že difúze z matrice do obrysu 948; fáze probíhá pomaleji než fáze Nb [42], může tato směrová difuze vést ke změně chemické látky jádra 948; fázové chemii a zvýšení objemu jednotkových buněk, jak je uvedeno na obrázku 5d.
Obrázek 5. (a 8211c) Časová závislost tří mřížkových parametrů obrysu 948; fázové srážky získané z měření in situ XRD v 700 ◦ C. d) Objem jednotkové jednotky obrysu 948; fázové srážkyDobře.
V situ SAXS data získaná se stejným objemem vzorku během izotermální tepelné léčby také poskytují okno k sondování statisticky významné transformační kinetiky materiálové mikrostruktury s jádrem H8217; s. Obrázek 6 ukazuje kompletní soubor dat, přičemž data USAXS jsou hlavním zápletkou a data SAXS zobrazená v vložce. Pro konzistenci jsou rozptylová data barevná-kódované pomocí stejné barevné stupnice jako údaje XRD v obrázku 3. Údaje o rozptylu mají tři znatelné charakteristiky. Za prvé, za velmi nízké-q část rozptylových údajů ≈ 1 215; 10 − 4 pryskyřice; − 1 do ≈ 4 215; 10 − 4 pryskyřice; − 1), jsme pozorovali sílu-svah zákona, který se nemění jako funkce času. Tuto vlastnost připisujeme zrnu Rozptýlení, které je podobné předchozí práci na Ni-slitiny na bázi [21,43] a hliník slitiny [44,45]. Růst obilí v IN625 je minimální pro teploty nižší než 900 ◦ C [46]. Očekává se tedy, že rozptyl obilí bude stabilní, což je v souladu s experimentálními pozorováními. Za druhé jsme zaznamenali monotónní zvýšení rozptylové intenzity mezi ≈ 4 215; 10 − 4 pryskyřice; − 1 a ≈ 0.01 1970s; − 1, zejména se dvěma Guinierskými regiony v blízkosti 2 215; 10 − 3 stěna1977; − 1 a 8 215; 10 − 3 stěna1977; − 1, resp. Vzhledem k tomu, že v situ XRD data a ex situ SEM obrázky zobrazují pouze sediment 948; fázové srážky, připisujeme tento rozptylový signál do fáze blam948; Předchozí mikroskopické studie prokázaly, že fázové sraženiny jsou destičky se dvěma charakteristickými velikostmi [10,21,47], což je v souladu s pozorováním dvou Guinierských regionů v rozptylových údajích. A konečně, data SAXS zobrazená v vložce jsou jednoduché rozšíření vysokého Q výkonu-svah práva v údajích USAXS; tj. údaje SAXS neobsahují žádné další informace, což naznačuje, že žádné další nm-Během této tepelné úpravy vznikly velké srážky.
Obrázek 6. In situ SAXS data AM IN625 získané během izotermální tepelné úpravy v 700 ◦ C pro 10.5 h. Hlavní zápletka a vložení zobrazují údaje USAXS a SAXS. Čas akvizice je barva-kódované podle časové šipky. Intenzita USAXS se krátí-rozmazanéDobře.
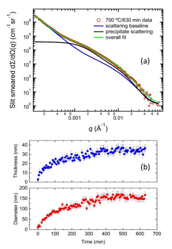
Vytvořili jsme rozptylovací model, který popisuje rozptylovací údaje založené na těchto pozorování, jak je znázorněno na obrázku 7a. Pomocí údajů USAXS získaných na 630 min v experimentu in situ jako příklad se tento model skládá ze dvou složek. První složkou je rozptylová výchozí hodnota, která se získává na stejném objemu vzorku při pokojové teplotě před tepelným zpracováním. Druhou složkou je přebytek rozptylu pocházející z lopatek 948; fázové srážky. Jak bylo stanoveno dříve [21], popsali jsme tento nadbytek rozptylu pomocí analytického přístupu analogického sjednocené metody rozptylování malého úhlu se dvěma rozptylovými úrovněmi [48]. Společně, tihle dva-komponentní model popisuje data in situ SAXS v celé sekvenci dat.Dobře.
Obrázek 7. a) ilustrace modelu SAXS používaného v této práci. Údaje byly získány v 630 min během tepelného ošetření v 700 ◦ C. Přebytečné rozptylování se skládá ze dvou částí: 1) rozptylování základní linie a (2) nadměrné rozptylování ze dna 948; fázové srážky. b) Doba-vývoj průměrného průměru (hlavní rozměr) a tloušťky (menší rozměr) obrysu 948;fázové srážkyDobře.

Pracovní pozice: Product manager
oddělení: Market Department
Telefon společnosti: +86 021-59150215
E-mail: Kontaktujte nás
Mobilní telefon: +86 13817160919
webová stránka: lanzhusuperalloy.infocsb2b.com
Adresa: No. 2800 Caoxin Road, Xuhang Town, Jiading District, Shanghai